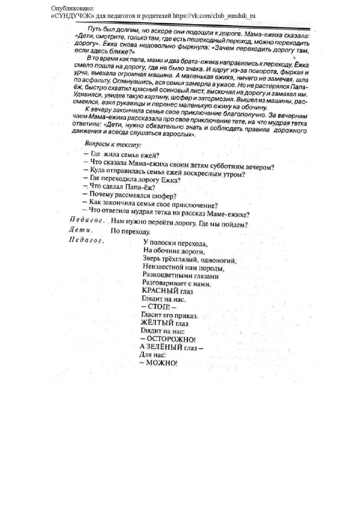
Образовательная деятельность в младшей группе. "Путешествие с большим Светофором"
Образовательная деятельность в младшей группе. "Путешествие с большим Светофором"

Аннотация:

Знакомство со светофором и правилами дорожного движения.

Загружено: 29.03.2021
Доступно бесплатно

Зарегистрируйтесь до 30 апреля и получите бесплатный доступ навсегда

Бесплатный доступ к библиотеке

Более 13 000 пособий

Бесплатные занятия с репетитором

Проект Дефектология Проф


Пример содержимого:

Для скачивания пожалуйста авторизуйтесь
Всего листов: 4
  Вся информация взята из открытых источников.
Посмотреть источник: https://vk.com/club_sunduk_ru?w=wall-148734517_97652
Если вы считаете, что ваши авторские права нарушены, пожалуйста, напишите в чате на этом сайте, приложив скан документа подтверждающего ваше право.
Мы убедимся в этом и сразу снимем публикацию.

Скидки и акции

В разделе собраны все акции и скидки. Следите за нашими предложениями!

При партнёрстве с Московским педагогическим государственным университетом
Свидетельство о регистрации СМИ Эл №ФС77-67907 от 06.12.2016 г.
При государственной поддержке институтов России
Регистрационный номер лицензии института Л035-01298-77/00181770
Свидетельство о государственной регистрации Института
Внесение сведений в ФРДО РФ
Свидетельство о постановке на учет Российской организации
Система добровольной сертификации